宁夏教育厅公布宁夏2023届高校毕业生学科专业生源信息
点击:{{view}}
来源:宁夏日报客户端
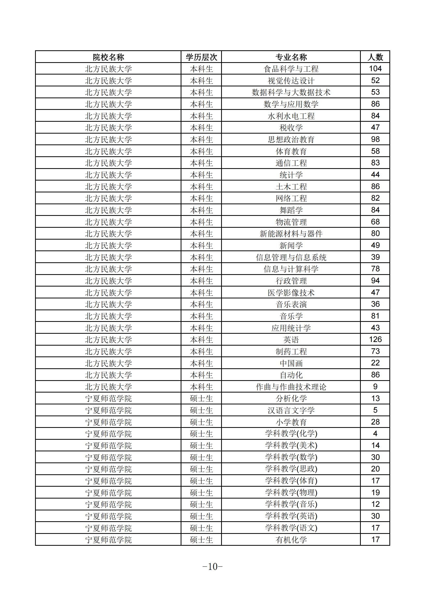
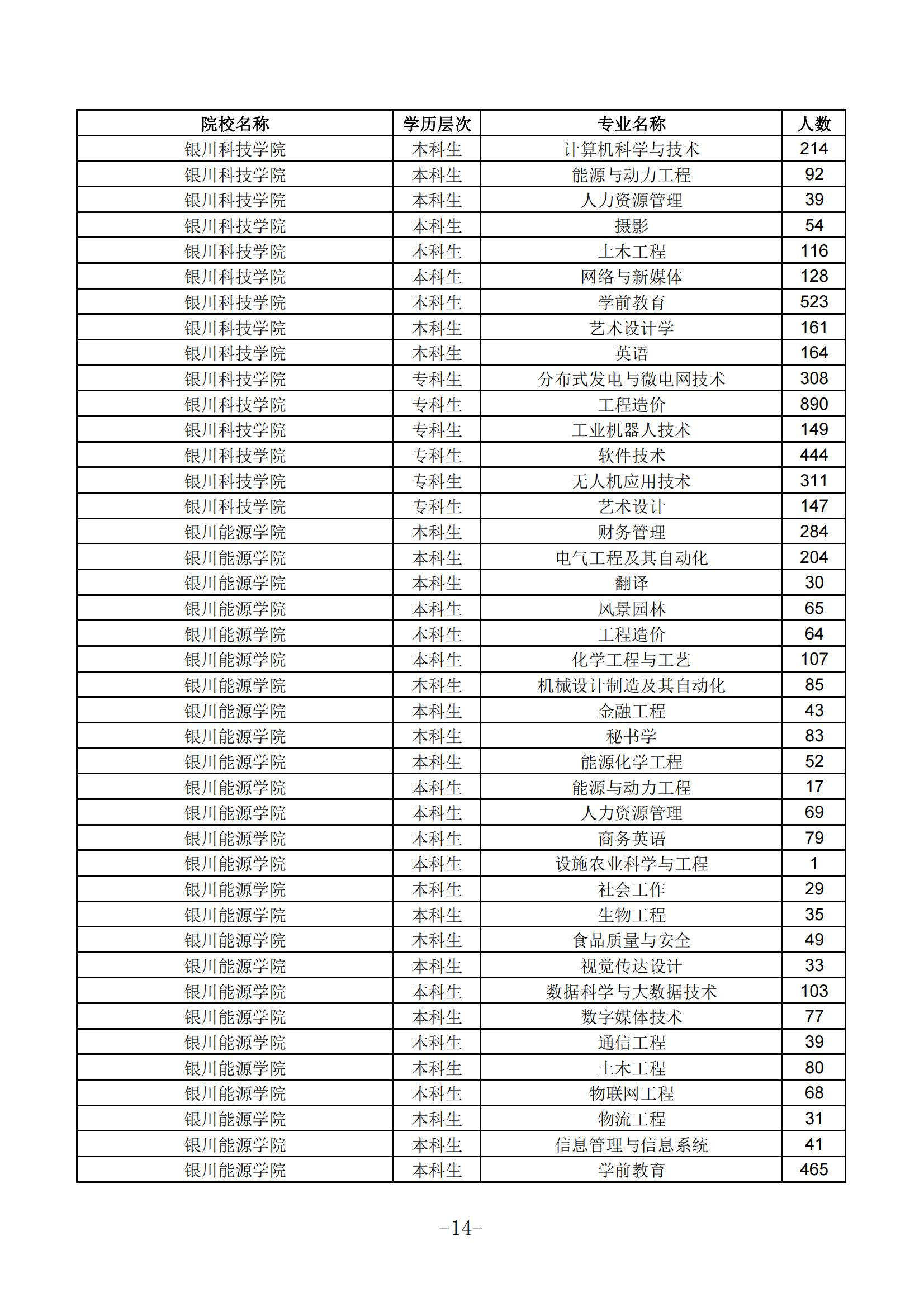
近日,宁夏教育厅按照《教育部关于做好2023届全国普通高校毕业生就业创业工作的通知》要求,公布宁夏2023届高校毕业生学科专业生源信息,旨在进一步完善市场化社会化就业促进机制,方便校企供需精准对接,促进毕业生高质量充分就业。宁夏教育厅表示,各用人单位可根据岗位需求情况,与相关高校就业工作部门联系,开展高校毕业生选聘工作。
相关链接:
相关新闻
-
“六盘山号”成功首航 打造云端上的固原名片
[2026-05-26] -
1-4月份宁夏经济运行总体平稳稳中提质 社会消费品零售总额484.89亿元
[2026-05-26] -
固原健儿将出征自治区第十七届运动会
[2026-05-25] -
@宁夏高考学生:5月26日起自行打印准考证!
[2026-05-25] -
108个站点降雨量达50毫米以上!昨天,宁夏最大累计降雨量在这儿
[2026-05-25] -
第九届枸杞产业博览会将于6月21日至22日在中宁县举办
[2026-05-25] -
西吉县人民法院将台堡人民法庭入选全国首批“枫桥式人民法庭”
[2026-05-25] -
我市2026年科技活动周暨全国科技工作者日活动启动
[2026-05-25] -
“聚善播爱 建行先行”助听器公益项目在我市启动
[2026-05-23] -
我市开展网络安全应急演练
[2026-05-23]

























